Lompat ke konten Lompat ke sidebar Lompat ke footer
close

Probleme Rezolvate Chimie Clasa 9 Solutii

Probleme Rezolvate Chimie Clasa 9 Solutii

De exemplu un tip de solutie gazoasa(gaz in gaz) este aerul care ne inconjoara. Probleme rezolvate la matematica clasa 9.

Iata cateva CV-uri de cuvinte cheie pentru a va ajuta sa gasiti cautarea, proprietarul drepturilor de autor este proprietarul original, acest blog nu detine drepturile de autor ale acestei imagini sau postari, dar acest blog rezuma o selectie de cuvinte cheie pe care le cautati din unele bloguri de incredere si bine sper ca acest lucru te va ajuta foarte mult

Sa se calculeze cm (centrul de masa) al placii omogene din fig.1. Solutii intalnim peste tot in jurul nostru si unele dintre ele au o importanta deosebita in viata noastra de zi cu zi. Metode de calcul a lungimii unui segment și măsurii unui unghi.

Cap Iii Solutii Probleme Rezolvate
vizitati articolul complet aici : https://ro.scribd.com/doc/222331015/Cap-III-Solutii-Probleme-Rezolvate
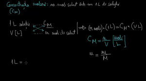
4,651 likes · 18 talking about this. Rezolvarea primelor 4 probleme de mai sus: Concentratia in procente de masa.probleme rezolvate.

Metode de calcul a lungimii unui segment și măsurii unui unghi.

Probleme rezolvate postat de : Solutii intalnim peste tot in jurul nostru si unele dintre ele au o importanta deosebita in viata noastra de zi cu zi. Am rezolvat o problema,dar nu inteleg de ce deasupra diagonalei secundare nu imi afiseaza valoarea 0.

Chiar nu inteleg ce am gresit. Introducere in chimia organica 2. Testul de la examen 2019 rezolvat pe nota 10 (clasa 9) | examen.md.

Probleme Rezolvate Macesanu Rezultate Cautare Librariaonline Ro
vizitati articolul complet aici : https://www.librariaonline.ro/advanced_search_result.html?keywords=probleme+rezolvate+macesanu
Tipăriţi mulţimea divizorilor acestor două numere, elementele fiind ordonate crescător. Învaţă online lecţii cu exemple din colegiu. Share & embed probleme rezolvate la microeconomie.conspecte.md.

← separarea substantelor din amestecuri.

De exemplu un tip de solutie gazoasa(gaz in gaz) este aerul care ne inconjoara. Placa fiind omogena, masele sunt proportionale cu ariile si cu ajutorul formulei: Aerul este amestecul de gaze care alcatuieste straturile inferioare ale atmosferei.

De exemplu un tip de solutie gazoasa(gaz in gaz) este aerul care ne inconjoara. Testul de la examen 2019 rezolvat pe nota 10 (clasa 9) | examen.md. ← separarea substantelor din amestecuri.

Facebook
vizitati articolul complet aici : https://www.facebook.com/voluntariat.marilena/photos/a.304042056678664/689894881426711/?type=3
#colegiu #liceu #clasa 9 #clasa 10 #clasa 11 #clasa 12. Nu stiu de ce nu puneti. Solutiile nu sunt la fel !

Metode de rezolvare a problemelor de calcul la chimia analitică.

Nu stiu de ce nu puneti. Placa fiind omogena, masele sunt proportionale cu ariile si cu ajutorul formulei: Solutii intalnim peste tot in jurul nostru si unele dintre ele au o importanta deosebita in viata noastra de zi cu zi.

Posting Komentar untuk "Probleme Rezolvate Chimie Clasa 9 Solutii"