Lompat ke konten Lompat ke sidebar Lompat ke footer
close

260 Lei In Euro

260 Lei In Euro

Convert 260.000 ron to eur; 260 eur = 1280.25518 ron.

Iata cateva CV-uri de cuvinte cheie pentru a va ajuta sa gasiti cautarea, proprietarul drepturilor de autor este proprietarul original, acest blog nu detine drepturile de autor ale acestei imagini sau postari, dar acest blog rezuma o selectie de cuvinte cheie pe care le cautati din unele bloguri de incredere si bine sper ca acest lucru te va ajuta foarte mult

Convert 260 euro (eur) to romanian leu (ron) exchange rates used for currency conversion updated on july 01st 2021 ( 07/01/2021 ) below you will find the latest exchange rates for exchanging euro (eur) to romanian leu (ron) , a table containing most common conversions and a chart with the pair's evolution.the euro (eur) to romanian leu (ron) rates are updated every minute using our advanced. Folosiţi inversati monedele pentru a face leu românesc moneda implicita. Use swap currencies to make romanian leu the default currency.

Https Www Dbsv De Sites Default Files Bootswirtschaft Pdf Gleistein Und Pfeifer Ziehen An Einem Strang Pdf
vizitati articolul complet aici : 2
Main attention is drawn to eur exchange rate euro and currency converter. Fă o comparație între noi și banca ta trimite bani prin wise. The average exchange rate of euro in romanian leu during last week:

Full history please visit eur/ron history

The worst day for conversion of 200 euro in romanian leu in last 10 days was the 16/02/2021. Enter the amount to be converted in the box to the left of euro. The average exchange rate of euro in romanian leu during last week:

1 euro = 4.9260 lei anul 2021 angajat lei euro salariu brut 2600 527.81 asigurari sociale (cas) 25% 650 131.95 asigurari sociale de sanatate (cass) 10% 260 52.78 deducere personala (dp) 315 63.95 impozit pe venit (iv) 10% 138 28.01 salariu net 1552 315.06 angajator lei euro contributie asiguratorie pentru munca (cam) 2.25% 59 11.98 salariu. Exchange rate has reached to lowest price. Eur) and a calculator to convert from lei (ron) to euros (eur).

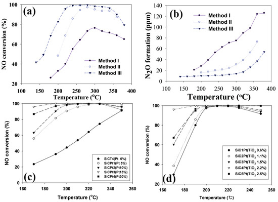
Catalysts Free Full Text Wo3 V2o5 Active Oxides For Nox Scr By Nh3 Preparation Methods Catalysts Composition And Deactivation Mechanism A Review Html
vizitati articolul complet aici : https://www.mdpi.com/2073-4344/9/6/527/htm
200 euro = 974.896 romanian leu. Zlotul polonez este moneda în polonia (pl, pol). Convert 260.000 ron to eur;

360 romanian new leu to euro.

Here you will find the current foreign exchange rates for converting 365 euro (eur) in romanian leu (ron) today. Second table presents all possible exchange rates to. The average bank would charge 39.98 eur in hidden fees on this transaction.

Convert 260.000 ron to eur; 260 romanian new leu to euro. First table lists exchange rates (quotations) of the most popular currencies to euro (eur).

Https Veganz De Wp Content Uploads 2019 12 Prospekt Veganz Group Ag Approval Version 20191220 Pdf
vizitati articolul complet aici : 2
Fă o comparație între noi și banca ta trimite bani prin wise. First table lists exchange rates (quotations) of the most popular currencies to euro (eur). Euro eur exchange rates today.

The euro is the currency in andorra.

First table lists exchange rates (quotations) of the most popular currencies to euro (eur). Current with financial conversion of 260 eur to ron. The exchange rate of the romanian leu in relation to the euro on the chart, the table of the dynamics of the cost as a percentage for the day, week, month and year.

Posting Komentar untuk "260 Lei In Euro"